• Предмет: Алгебра
  • Автор: egege27
  • Вопрос задан 3 года назад

35 баллов за уравнение

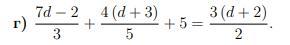
Приложения:

Ответы

Ответ дал: fatblanket51087
0

фотография сверху

........

Приложения:
Вас заинтересует