• Предмет: Математика
  • Автор: bananajoe2040
  • Вопрос задан 3 года назад

Помогите решить пример, дам 15 баллов

Приложения:

Ответы

Ответ дал: ekaterin01p44389
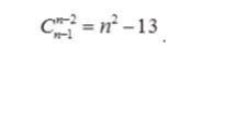
1

Ответ:

-3

4

Пошаговое объяснение:

(n-1)!/(n-2)!(n-1-n-(-1))! = (n-1)!/(n-2)!0! = (n-1)!/(n-2)! = (n-2)!(n-1)/(n-2)! = n-1

n-1 = n^2-13

n^2-13-n+1 = 0

n^2-n-12 = 0

n = -3 n = 4

Вас заинтересует