• Предмет: Алгебра
  • Автор: Ghoulove
  • Вопрос задан 3 года назад

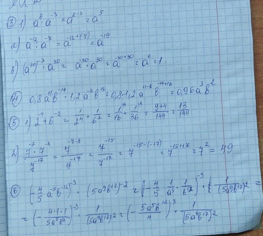
Помогите решить контрольную №3
Там некоторые числа зачеркнуты и карандашом написаны новые, надо сделать которые переделаны карандашом

Приложения:

Ответы

Ответ дал: elena090199
1

оооооооооооооооооооооооо

Приложения:

Ghoulove: Спасссиба от души:)
Вас заинтересует