• Предмет: Математика
  • Автор: Аноним
  • Вопрос задан 3 года назад

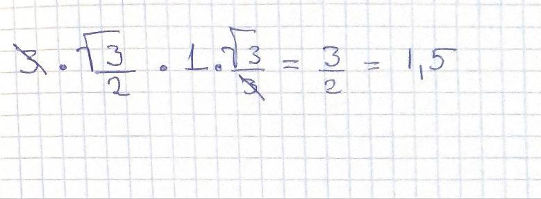
 3• sin 60º • tg 45º • ctg 60º​

Ответы

Ответ дал: Anaheim15
2

Ответ:

Пошаговое объяснение:

Приложения:
Вас заинтересует