Ответы
Ответ дал:
1
Ответ:
Вроде бы так, но могу ошибаться
Приложения:

romanalifanov99:
радуйся)
Ответ дал:
0
Ответ:
и
Объяснение:
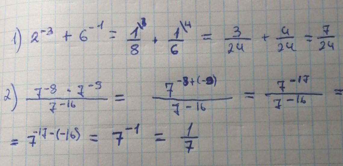
1. +
Применяем формулу отрицательной степени: =
+
=
Приводим к общему знаменателю и получаем ответ:
=
2.
Применяем формулу отрицательной степени: =
=
=
=
Здесь у нас сокращение; сокращаем и получаем ответ:
Надеюсь, мой ответ окажется удовлетворительным. Если это так, то я надеюсь, Вы оцените качество ответа. Для меня это важно.
Вас заинтересует
2 года назад
2 года назад
2 года назад
7 лет назад
7 лет назад
9 лет назад