Срочно!!! Отдаю все баллы!!! Пожалуйста помогите!!!
НАЙДИТЕ НАИБОЛЬШЕЕ И НАИМЕНЬШЕЕ ЗНАЧЕНИЕ ВЫРАЖЕНИЯ!!!
Приложения:

Ответы
Ответ дал:
1
Ответ:
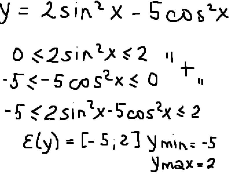
5 и -2
Объяснение:
Приложения:

Вас заинтересует
2 года назад
2 года назад
2 года назад
7 лет назад
9 лет назад