• Предмет: Алгебра
  • Автор: vlad2004165
  • Вопрос задан 3 года назад

Помогите срочно нужно пж

Приложения:

Ответы

Ответ дал: kalkievagauharpaiger
1

Ответ:

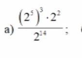
(2⁵)³×2²/2¹⁴=2¹⁵×2²/2¹⁴=2¹⁷:2¹⁴=2³

Вас заинтересует