• Предмет: Алгебра
  • Автор: bigunveronikaod15
  • Вопрос задан 3 года назад

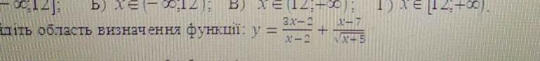
знайти область визначення функції:

Приложения:

Ответы

Ответ дал: Аноним
1

Ответ: х> - 5 , кроме х=2.

Объяснение:

х-2≠0 ; х≠2.

√(х+5)>0

х+5>0

х>-5

Вас заинтересует