срочно срочно срочно срочно срочно срочно срочно срочно срочно срочно срочно срочно
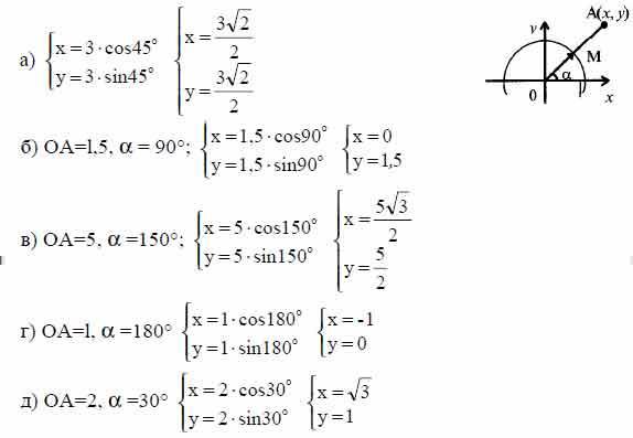
угол между лучом оа, пересекающим единичную полуокружность, и положительной полуосью ох равен 60°, оа 8√3. найти координаты точки а
Ответы
Ответ дал:
0
Ответ:
Объяснение:
Надеюсь помог
Приложения:

Вас заинтересует
2 года назад
2 года назад
2 года назад
2 года назад
7 лет назад
7 лет назад
9 лет назад
9 лет назад