• Предмет: Алгебра
  • Автор: goyana72
  • Вопрос задан 3 года назад

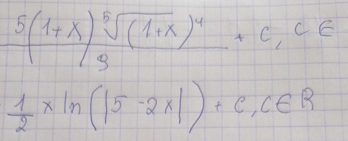
Помогите решить интегралы, пожалуйста, на кону стоит мое отчисление

Приложения:

Ответы

Ответ дал: dzegutanovalusana
1

Ответ:

Это 1-2.

Это уже сразу ответ пиши, потому что у меня все на фото не поместилось

Приложения:
Вас заинтересует