Нужно решить 1 дифференциальное уравнение (записать общим видом). Совсем запутался с выбором способа. Кто сможет решить, буду благодарен.
Приложения:

Аноним:
Ууууууууу
Ответы
Ответ дал:
0
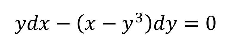
Ответ:
Линейное диффер. уравнение 1 порядка относительно "х" .
Вас заинтересует
2 года назад
2 года назад
7 лет назад
9 лет назад