• Предмет: Математика
  • Автор: rostukannykroka2007
  • Вопрос задан 3 года назад

дам 20 балов если правильно неправильно бан с розв'язанням​

Приложения:

Ответы

Ответ дал: vshamina
0

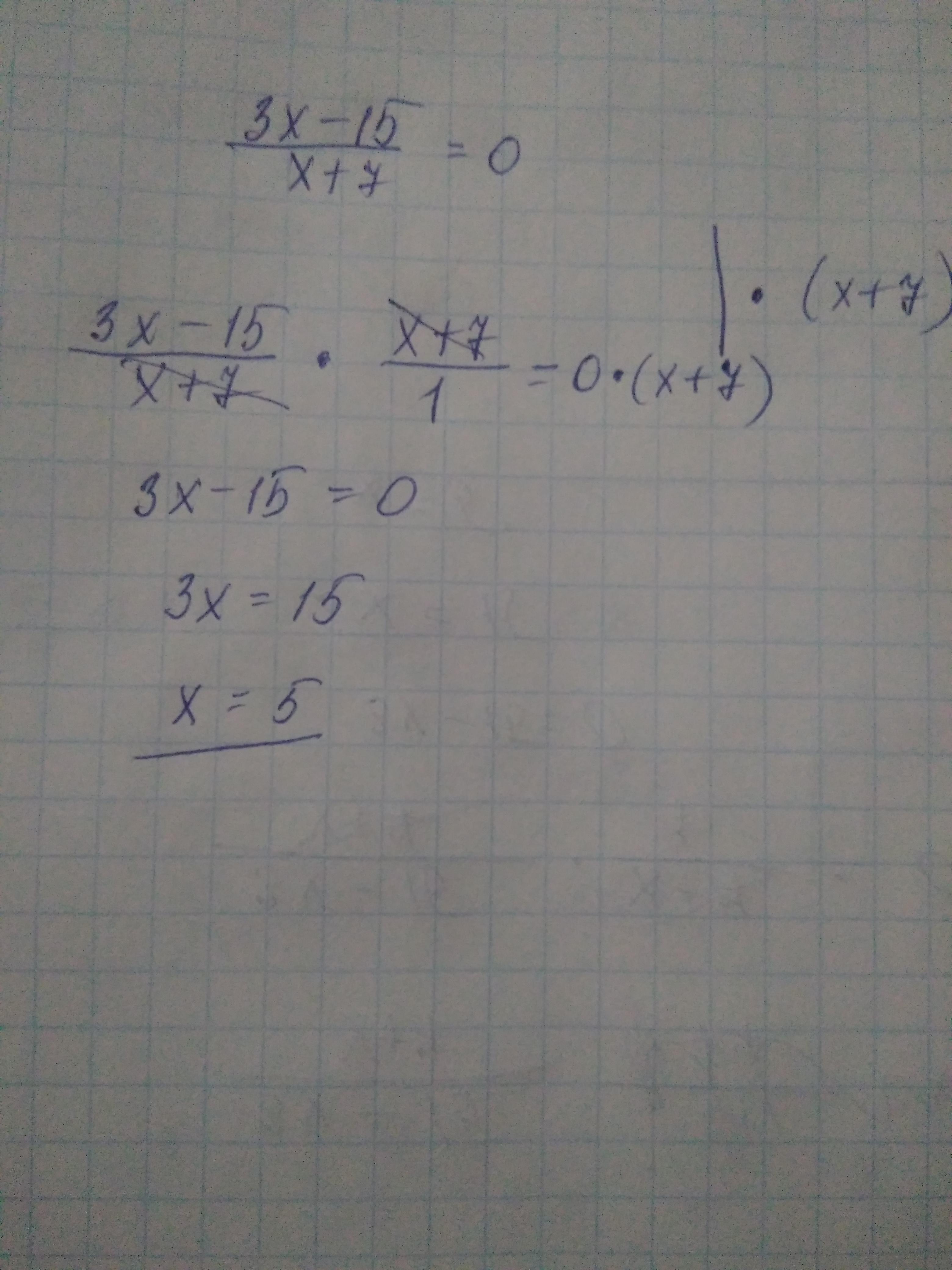
Ответ: 5

Пошаговое объяснение:

Домножим обе части на (х+7)

Приложения:
Вас заинтересует