• Предмет: Математика
  • Автор: faridaadiraf1512
  • Вопрос задан 3 года назад

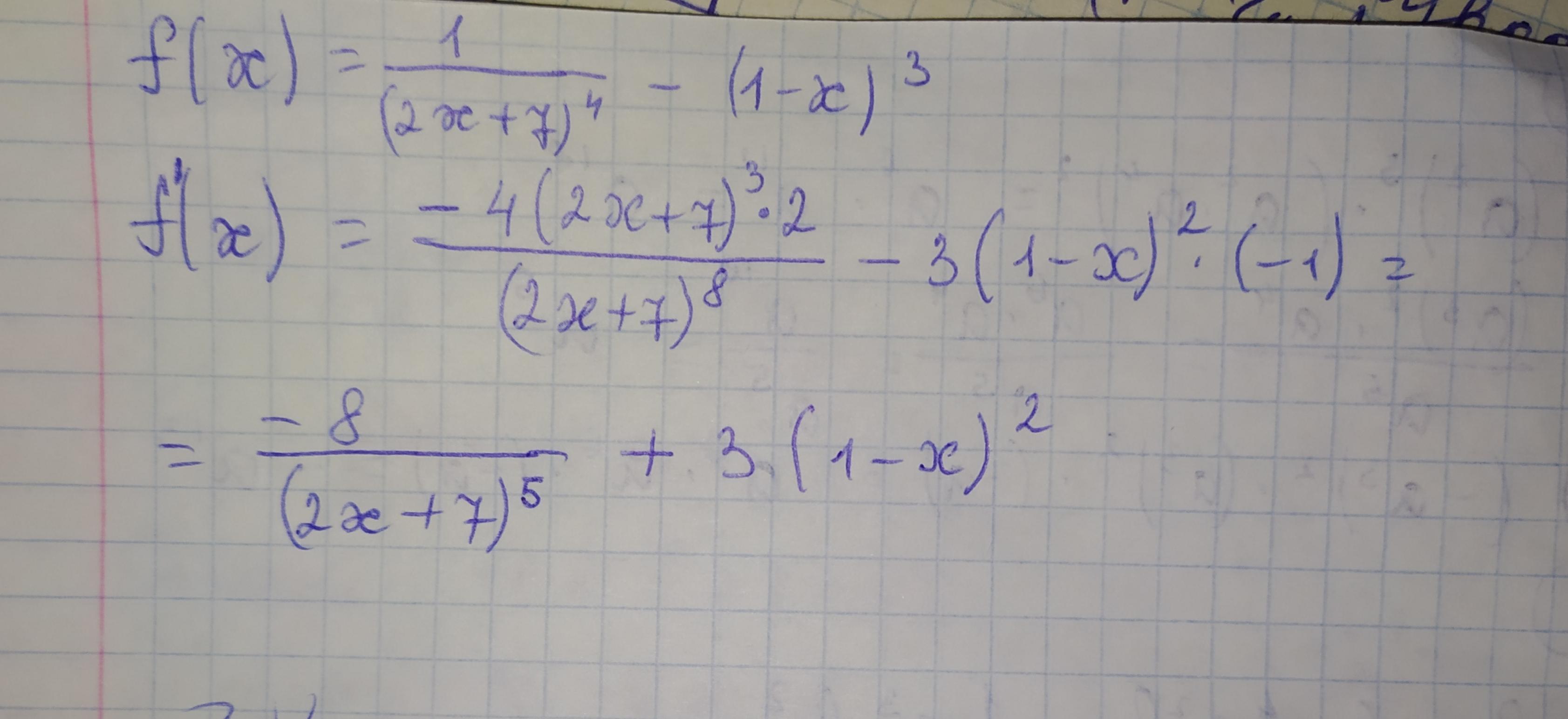
найдите производную​

Приложения:

Ответы

Ответ дал: Sineyenebo
1

Ответ в файле.............

Приложения:
Вас заинтересует