• Предмет: Математика
  • Автор: anisimov123452
  • Вопрос задан 3 года назад

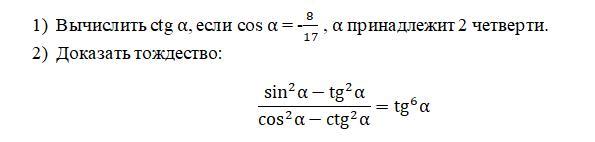
Помогите решить два задания по тригонометрии.(ДАЮ 30 БАЛЛОВ)

Приложения:

Ответы

Ответ дал: toporchikyg
0

Ответ:

Пошаговое объяснение:

Приложения:
Вас заинтересует