• Предмет: Алгебра
  • Автор: programmerСool
  • Вопрос задан 3 года назад

Алгебра. Даю 38 баллов!

Приложения:

Ответы

Ответ дал: krutoimakst41
1

Ответ:

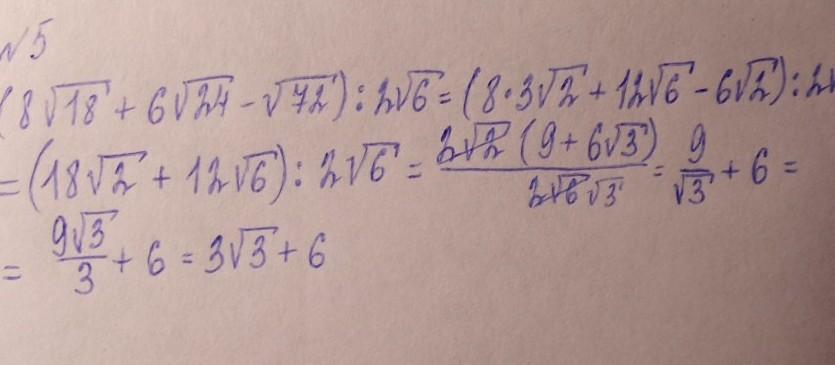
пояснение на фото

Объяснение:

на фото

Приложения:
Вас заинтересует