• Предмет: Алгебра
  • Автор: vm9999
  • Вопрос задан 10 лет назад

ПОМОГИТЕ! СРОЧНО! 
ПОЖАЛУЙСТА!!
Хотя бы одно решите)

Приложения:

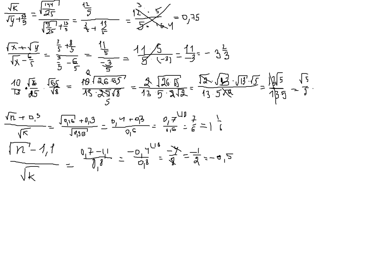
Ответы

Ответ дал: kirill8121998
0
Держи, 5 решил они все легкие - там только подставить везде
Приложения:
Вас заинтересует