Ответы
Ответ дал:
1
Ответ:
3у-4у=4
-у=-4
у=4
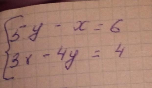
5у-х=6
25-х=6
х=19
Ответ дал:
0
5y-x=6
3x-4y=4
5y-6=x
3(5y-6)-4y=4
15y-18-4y=4
11y=22
y=2
x=5*2-6
x=4
ответ: (4;2)
3x-4y=4
5y-6=x
3(5y-6)-4y=4
15y-18-4y=4
11y=22
y=2
x=5*2-6
x=4
ответ: (4;2)
Вас заинтересует
2 года назад
2 года назад
2 года назад
2 года назад
8 лет назад
8 лет назад
9 лет назад