Помогите решить с понятным объяснением. Задания 4,5,18,19. Желательно на листочке. Даю 100 баллов
Приложения:




Miroslava227:
производные?
Ответы
Ответ дал:
1
Ответ:
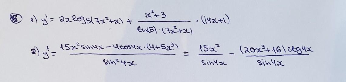
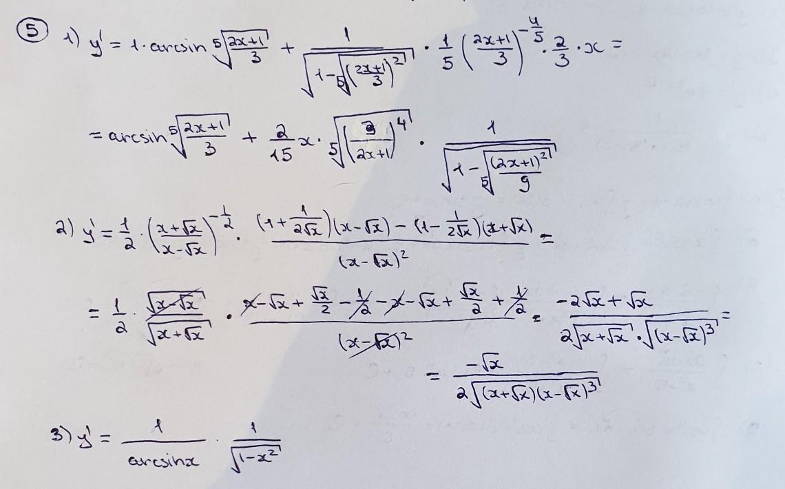
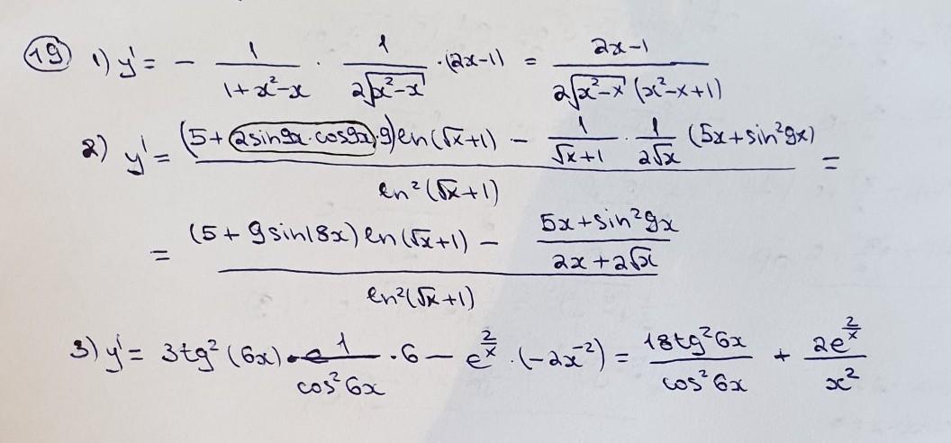
решение на фотографиях
Приложения:





Вас заинтересует
2 года назад
2 года назад
2 года назад
2 года назад
9 лет назад