• Предмет: Алгебра
  • Автор: schwalzerinj
  • Вопрос задан 3 года назад

20 БАЛЛОВ ЗА ПРИМЕР!!! найдите производную функции:
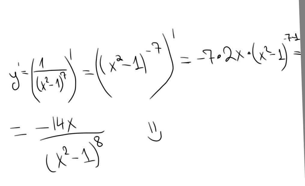
y = \frac{1}{(x^{2} -1)^{7}}

Ответы

Ответ дал: lil808
1

Ответ:

производная функции

у'= - 14х/(х²-1)⁸

подробное решение на фотографии

Приложения:

schwalzerinj: а решение то где???
lil808: пишите тогда, сразу, что с решением) попробую сейчас тут написать
schwalzerinj: напишите пожалуйста!!!!! очень нужно
lil808: для начала поднимем скобки вверх, тогда она станет в -7 степени. выносим степень вперед. затем берем производную от внутренности скобки, это будет 2х. не забываем вычесть 1 из 7 у степени скобки. получается -8. отправляем скобки в знаменатель, и получаем скобку в степени 8. понятно?
schwalzerinj: может, вы ответ удалите и новый вставите? потому что мне прям запись нужна, я эту тему вообще не знаю(
lil808: хорошо, но советую вам ее подучить, основы знать полезно :) в универе может пригодиться
lil808: готово
schwalzerinj: спасибо огромное!!!!!!!!!
lil808: обращайтесь)
Вас заинтересует