Помогите плиз
Просто дз надо сделать , а я не понимаю
Приложения:
Аноним:
упростить или на множители разложить?
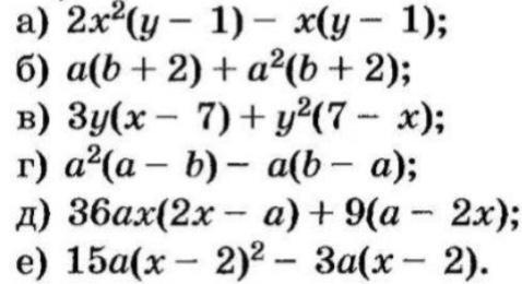
Представить выражение в виде произведения трёх множителей
надеюсь, что я правильно тебя поняла (решение прикрепила)
непонятно что ???
на множители умеете раскладывать ?
например первое
на множители умеете раскладывать ?
например первое
как ответ спам лучшим делать .... непонятно, если второй ответ правильный и полный {{{{{{{{{{{{{{{{{{{{{{
Ответы
Ответ дал:
1
............................................................................
Приложения:
Вас заинтересует
2 года назад
2 года назад
2 года назад
8 лет назад
8 лет назад
9 лет назад