• Предмет: Алгебра
  • Автор: vadimskad
  • Вопрос задан 3 года назад

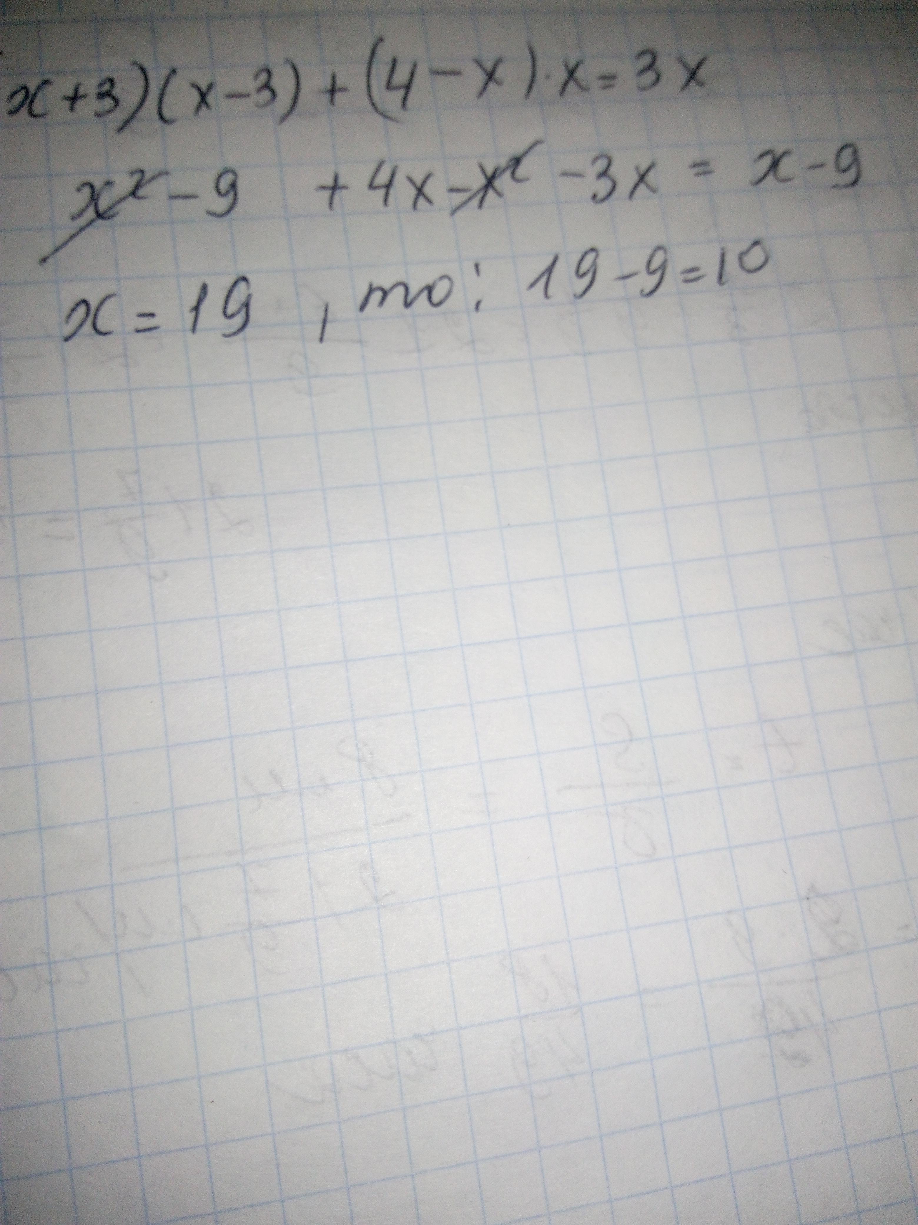
Спростіть вираз (х + 3)(х - 3)+(4 - х)х = 3х і знайдіть його значення, якщо х = 19
СРООООЧНО

Ответы

Ответ дал: PinkesRose
1

Ответ:10. Фото

Объяснение:

Приложения:

vadimskad: СПАСИБО БОЛЬШОЕ!
Вас заинтересует