• Предмет: Алгебра
  • Автор: 078509723415
  • Вопрос задан 3 года назад

Срочно помогите даю 35 баллов нужно решить уравнение

Приложения:

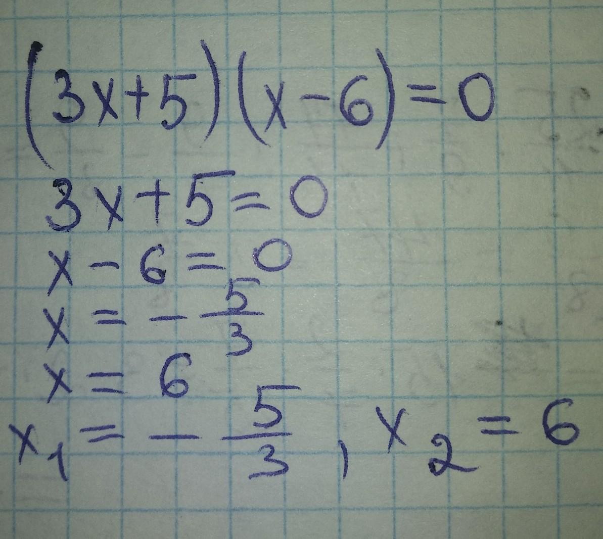
makarchukulana1: Х1= -5/3
makarchukulana1: Х1= -5/3,х2=6

Ответы

Ответ дал: Kawayi
0

Ответ:

х1 = -5/3 х2 = 6

Объяснение:

(3x+5) ( x - 6 ) = 0

3x + 5 = 0    x - 6 = 0

x1 = -5/3       x2 = 0 + 6

                    x2 = 6

Ответ дал: shaxzodadavronova1
0

Ответ:

решение на фото .........

Приложения:
Вас заинтересует