• Предмет: Математика
  • Автор: wertyuiop60
  • Вопрос задан 3 года назад

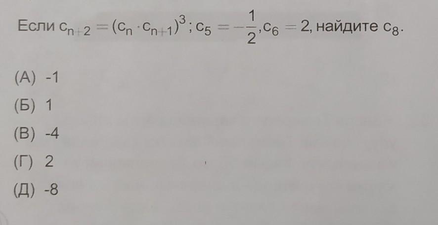
помогите решить!!!!!с объяснением пожалуйста,срочно​

Приложения:

Ответы

Ответ дал: iosiffinikov
1

Ответ:

-1

Пошаговое объяснение:

C8=(2*(-1/2))^3=-1^3=-1


wertyuiop60: спасибо большое,но там нет такого ответа
wertyuiop60: ((
iosiffinikov: Там очень мелко, прочитал - вместо *, сейчас исправлю.
wertyuiop60: спасибо)))
Вас заинтересует