• Предмет: Алгебра
  • Автор: jejsbsb
  • Вопрос задан 3 года назад

СРООООЧНО 35 БАЛЛОВ ПЖ


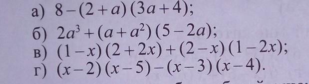
запишите алгебраическое значение в виде одночлена стандартного вида.









:) ​

Приложения:

Ответы

Ответ дал: aninil
1

Ответ:

А) 10а-3а'2

Б) 5а-3а'2

В) 4-5х

Г) - 2

Объяснение:

На картинке

Приложения:
Вас заинтересует