• Предмет: Алгебра
  • Автор: vladaa293
  • Вопрос задан 3 года назад

Помогите, пожалуйста, решить 10 задание

Приложения:

Ответы

Ответ дал: tkacenkov612
1

Ответ:

отует показан на картинке

Приложения:
Ответ дал: Andrey524
1

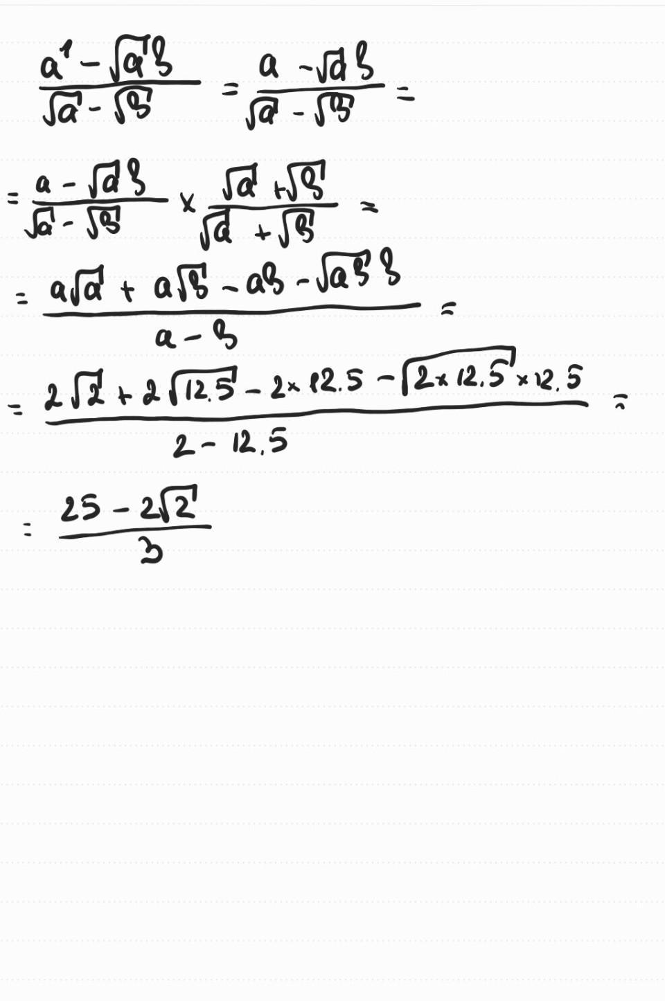
 \frac{a \frac{3}{2} - a  \frac{1}{2}b }{a \frac{1}{2} - b \frac{1}{2}  }  \\ a = 2 \\ b = 12.5

 \frac{ \frac{2}{1} \times  \frac{3}{2}  -  \frac{2}{1} \times  \frac{1}{2}  \times  \frac{125}{10}   }{ \frac{2}{1} \times  \frac{1}{2} -  \frac{125}{10}  \times  \frac{1}{2}   }

 \frac{3 -  \frac{125}{10} }{1 -  \frac{125 \times 1}{10 \times 2} }

 \frac{ \frac{3}{1}  -  \frac{125}{10} }{ \frac{1}{1}  -  \frac{125}{20} }

 \frac{ \frac{30 - 125}{10} }{ \frac{20 - 125}{20} }

 \frac{ \frac{ - 95}{10} }{ \frac{ - 105}{20} }  =  \frac{   - 95}{10}  \div  \frac{ - 105}{20}

 \frac{95 \times 20}{105 \times 10}

 \frac{95 \times 2}{105 \times 1}

 \frac{19 \times 2}{21}

 \frac{38}{21}  = 1 \frac{17}{21}

Вас заинтересует