• Предмет: Алгебра
  • Автор: volosatovamarina803
  • Вопрос задан 3 года назад

решение пожалуйстааа́ааааа​

Приложения:

Ответы

Ответ дал: sofiaaaaaaB
0
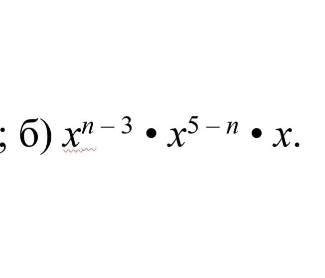
1)Xn-3*x5-n*x1
2)xn-3+5-n+1
3)x-3+5+1
4)x3
Вас заинтересует