Самостоятельная работа.
Вариант 1.
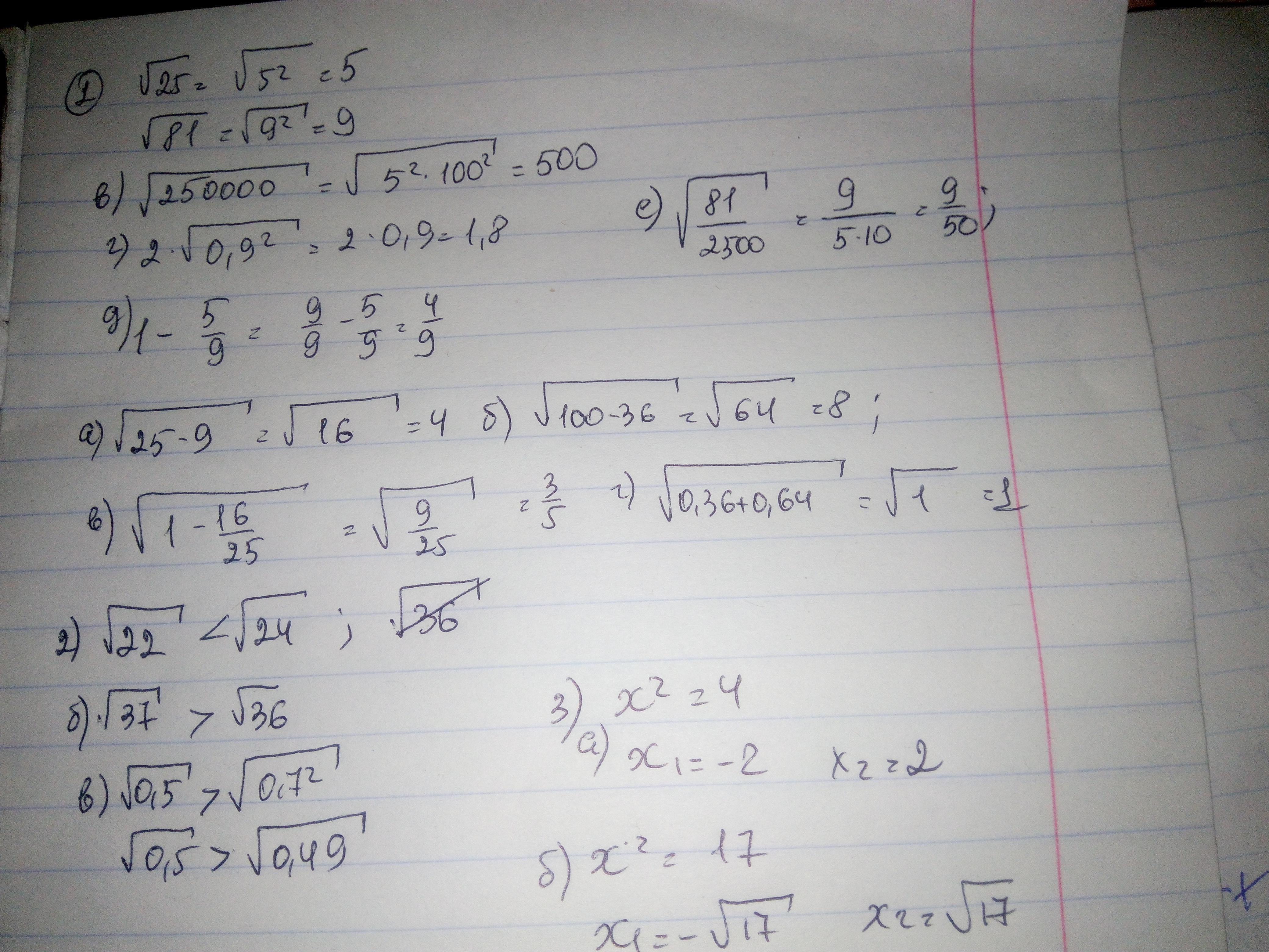
1) Вычислите:
д) 1 -
ві
81
N 2500
а) 25;
в) 250 000;
6) V81; г) 20,81;
а) (25 – 9; б) (100 – 9-4; в) 1-1. г) 0,36 +0,64.
2) Сравните:
а) 22 и 24;
б) 37 и 6;
в) 0,5 и 0,7;
3) Решите уравнения:
а) х2 = 4;
б) х2 = 17;
в) х2 - 0,09;
г) 2x2 = 0,08;
д) (3х – 7)2 = 121;
Приложения:

Ответы
Ответ дал:
1
Ответ:фото
Объяснение:
Приложения:


Вас заинтересует
2 года назад
2 года назад
7 лет назад