• Предмет: Математика
  • Автор: oekekkdkd
  • Вопрос задан 3 года назад

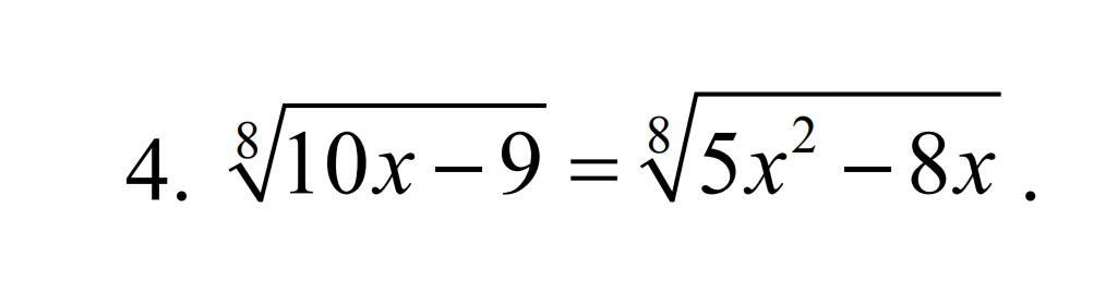
Одно иррациональное уравнение.

Приложения:

Ответы

Ответ дал: vityamath
0

Пошаговое объяснение:

Решение на фотографии ..

Приложения:
Вас заинтересует