• Предмет: Алгебра
  • Автор: yegorkaracharov
  • Вопрос задан 3 года назад

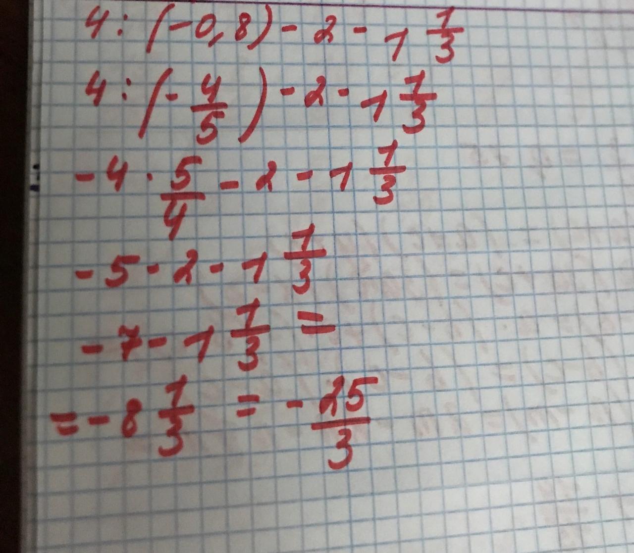
4 : (-0,8)-2-1 1/3 помогите плз

Ответы

Ответ дал: Аноним
1

...............................................

Приложения:
Ответ дал: VMahkamoV
0

Объяснение:

Ответ дан на медиафайле

Удачи

Приложения:
Вас заинтересует