• Предмет: Алгебра
  • Автор: llilackitt
  • Вопрос задан 3 года назад

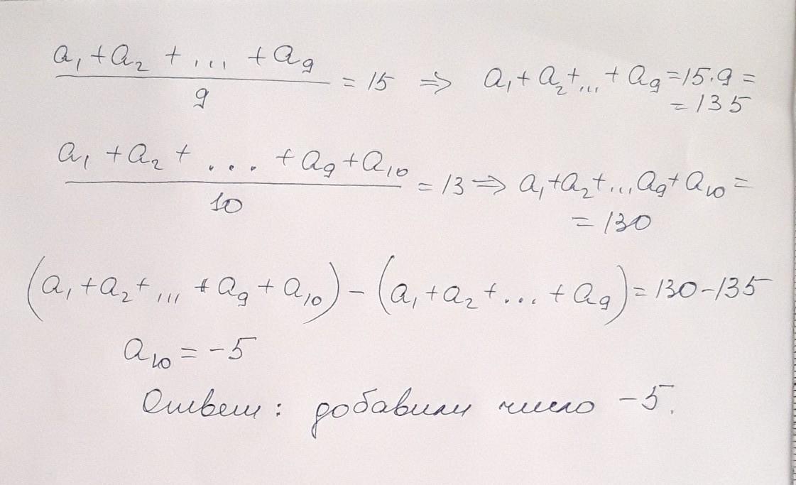
5. Дан числовой набор из 9 чисел. Среднее арифметическое набора
равно 15. К набору добавили одно число, и среднее арифметическое
стало равно 13. Какое число добавили?
СРОЧНО!!!!

Ответы

Ответ дал: sharofat0
0

Ответ:

Добавили число -5.

Среднее арифметическое.

Приложения:
Вас заинтересует