• Предмет: Алгебра
  • Автор: Solnceviski
  • Вопрос задан 3 года назад

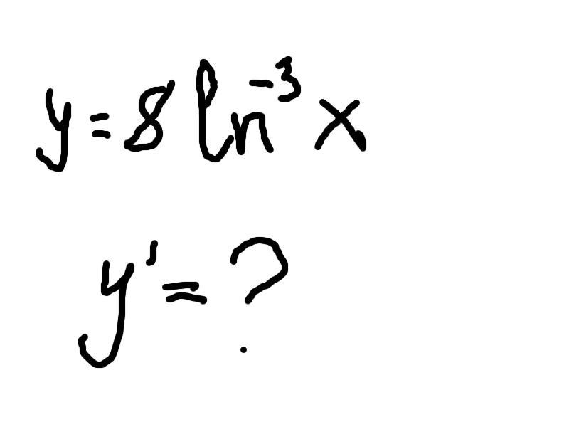
посчитать производную

Приложения:

Ответы

Ответ дал: Miroslava227
1

Ответ:

y' = 8 \times ( - 3) { ln}^{ - 4} (x) \times  \frac{1}{x}  =   \\  =  -  \frac{24}{x { ln}^{4} (x)}

Вас заинтересует