• Предмет: Математика
  • Автор: kimmaksim779
  • Вопрос задан 3 года назад

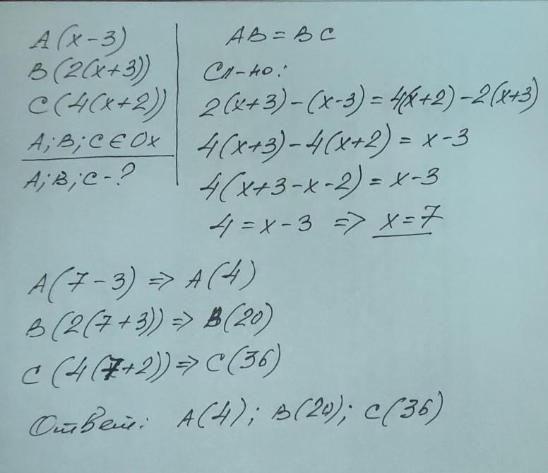
На координатной прямой даны точки А(х – 3), В(2(х + 3)) и C(4(х + 2)) по возрастанию. Если известно,
что длина отрезка АВ равна длине отрезка BC, отметь координаты точек A и B на координатной
прямой.0 1 2 3 4 5 6 7 8
9 10 11 12 13 14 15 16 17 18 19 20 21 22 23 24 2​5

Ответы

Ответ дал: alexokmail
2

Ответ: А(4), В(20), С(36)

Приложения:

kimmaksim779: спасибо
alexokmail: ок
Вас заинтересует