Помогите плиз.
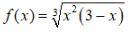
Найти область определения функции, построить её график, исследовать на чётность и нечётность. Периодичность. Пересечение с осями координат. Промежутки знакопостоянства.
Приложения:

Ответы
Ответ дал:
0
Ответ:
x1 = 0 x2 = 3
Пошаговое объяснение:
мовно лучший
tolitur:
решение хотелось бы) и график желательно
Вас заинтересует
2 года назад
2 года назад
2 года назад
2 года назад
7 лет назад
7 лет назад
9 лет назад
9 лет назад