Ответы
Ответ дал:
0
ОтвеВот и всё
Объяснение:
Приложения:

kamros1567:
казалось страшнее
Ответ дал:
0
Ответ:
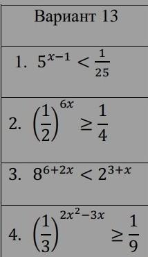
1. 5^(x-1)<5^-2
x-1<-2
x<-1
2. (1/2)^(6x)>=1/2^2
6x<=2
x<=1/3
3. 2^(3*(6+2x))<2^(3+x)
6(3+x)<(3+x)
3+x<0
x<-3
4. (1/3)^(2x^2-3x)>=(1/3)^2
2x^2-3x<=2
2x^2-3x-2<=0
(-2 + x) (1/2 + x) <= 0
-1/2<=x<=2
Вас заинтересует
2 года назад
2 года назад
2 года назад
2 года назад
7 лет назад
7 лет назад