• Предмет: Математика
  • Автор: ashimovnurislam58
  • Вопрос задан 3 года назад

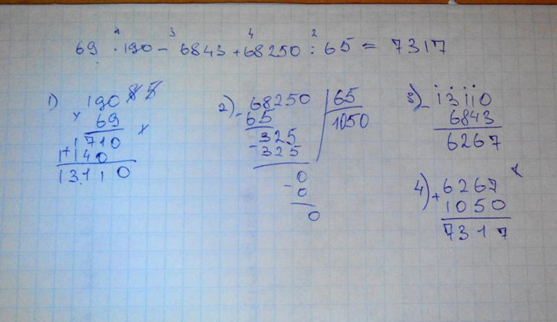
69×190-6843+68250÷65

Ответы

Ответ дал: ybuskunova
0

Ответ:

7317

Пошаговое объяснение:

Приложения:
Ответ дал: privetyavasya
0

Ответ:

13110-6843+1050=7317

Вас заинтересует