• Предмет: Математика
  • Автор: ben58
  • Вопрос задан 3 года назад

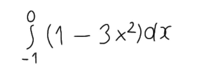
Помогите, вычислите интегралы... ​(25 баллов)

Приложения:

Ответы

Ответ дал: Miroslava227
1

Ответ:

\int\limits(1 - 3 {x}^{2} )dx = x -  \frac{3 {x}^{3} }{3}  + c =  \\  = x -  {x}^{3}  + c

подставляем пределы:

0 - ( - 1 + 1) = 0

Вас заинтересует