• Предмет: Математика
  • Автор: Anonim9393
  • Вопрос задан 3 года назад

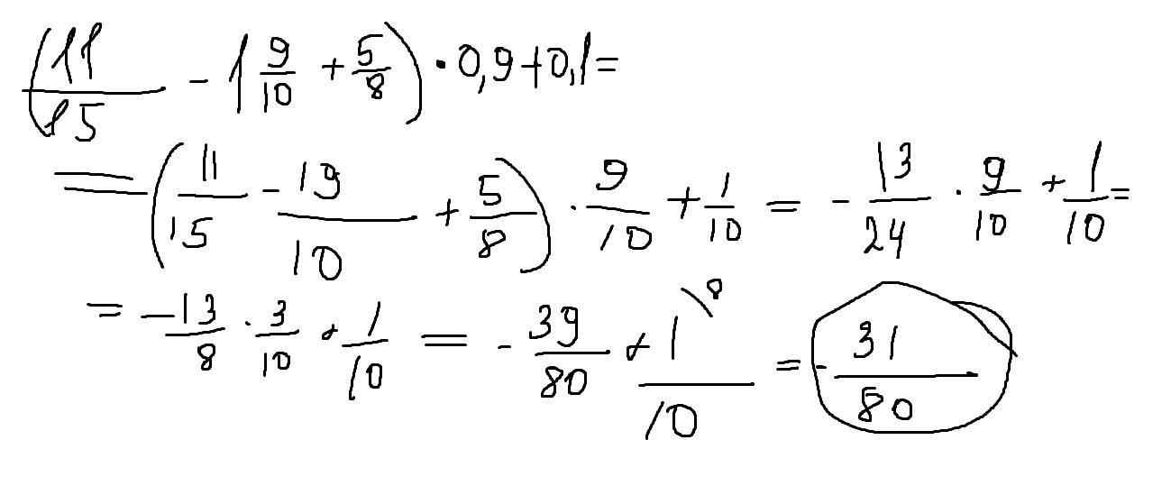
23 БАЛЛА! Помогите с примером (11/15 - 1 9/10 + 5/8) * 0,9 + 0,1
Желательно с подробным разъяснением. Спасибо!

Ответы

Ответ дал: nikitabogoslov7
0

Ответ: -31/80.

Надеюсь помог с решением :)

Приложения:
Вас заинтересует