в прямоугольном треугольнике один из катетов равен 12 cm,а второй меньше гипотенузы на 8 cm.Найдите гипотенузу треугольника
Ответы
                                            Ответ дал: 
                                                                                            
                                                    
                                                
                                                                                    
                                        
                                            
                                                
                                                
                                                
                                                    0
                                                
                                            
                                        
                                    Ответ:
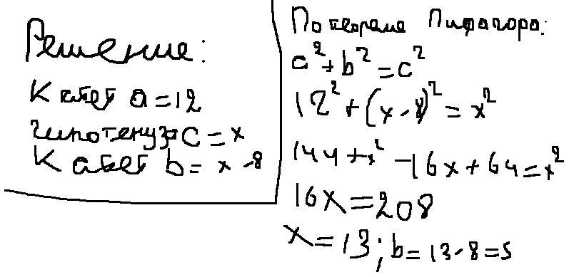
Гипотенуза C=13, Катет b=5
Объяснение:
Приложения:
                    
                            
                                            Ответ дал: 
                                                                                    
                                        
                                            
                                                
                                                
                                                
                                                    0
                                                
                                            
                                        
                                    Ответ:
12^2 + (x-8)^2 = x^2
144 + x^2 -16x + 64 = x^2
208 + x^1 - x^2 - 16x = 0
208 = 16x
x= 13
Объяснение:
                    Kxandau:
                    Мой ответ классный
                
            
                    
                    Это просто Лайк
                
            Вас заинтересует
                
                        2 года назад
                    
                
                        2 года назад
                    
                
                        2 года назад
                    
                
                        2 года назад
                    
                
                        8 лет назад
                    
                
                        8 лет назад
                    
                
                        9 лет назад