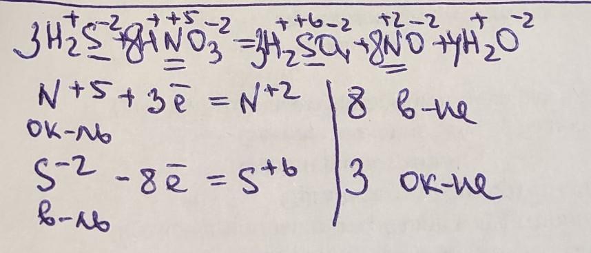
Унаслідок пропусксння сульфіду крізь розчин нітратної кислоти можна одержати сульфатну кислоту. Перетворіть схему на хімічне рівняння, використавши метод електронного балансу. Укажіть речовину-окисник і речовину-відновник:
H2S+ HNO3= H2SO4+ NO(стрелка вверх)+ H2O
( В результате пропусксння сульфида через раствор азотной кислоты можно получить серную кислоту. Превратите схему на химическое уравнение, используя метод электронного баланса. Добавить вещество-окислитель и вещество-восстановитель:
H2S + HNO3 = H2SO4 + NO (стрелка вверх) + H2O )
Ответы
Ответ дал:
2
Ответ:
ответ смотри во вложении
Приложения:

Вас заинтересует
2 года назад
2 года назад
2 года назад
7 лет назад
9 лет назад