Ответы
Ответ дал:
1
Ответ:
Пошаговое объяснение:
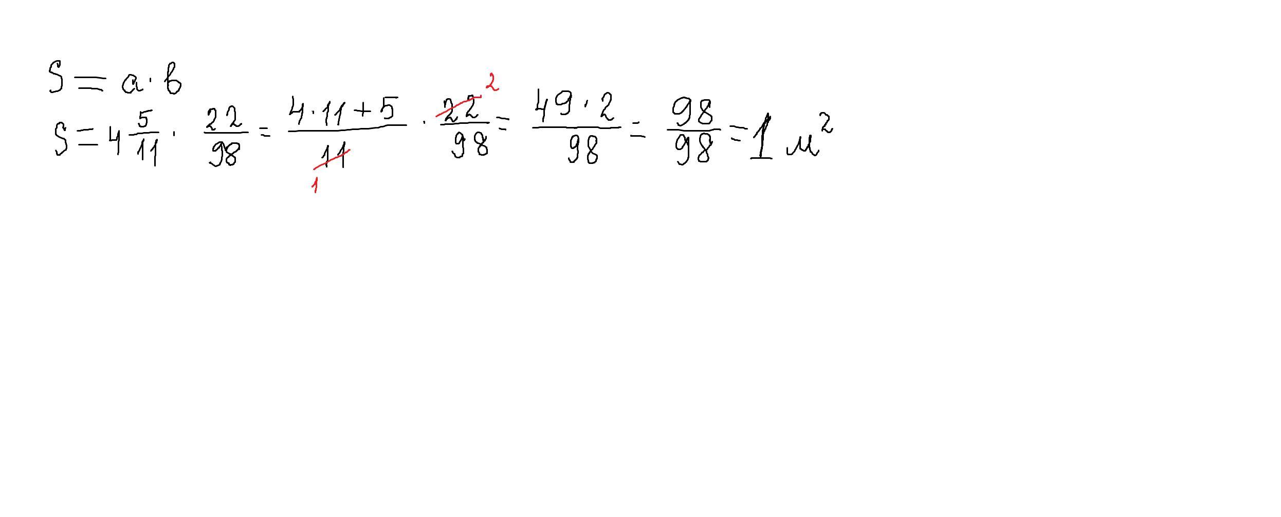
Площадь прямоугольника равна :
S=a*b= 4 5/11*22/98= 49/11*22/98 = 1 м2
Ответ дал:
0
Ответ:
площадь прямоугольника равна 1м²
Пошаговое объяснение:
решение внизу
Приложения:

Вас заинтересует
2 года назад
2 года назад
7 лет назад
7 лет назад