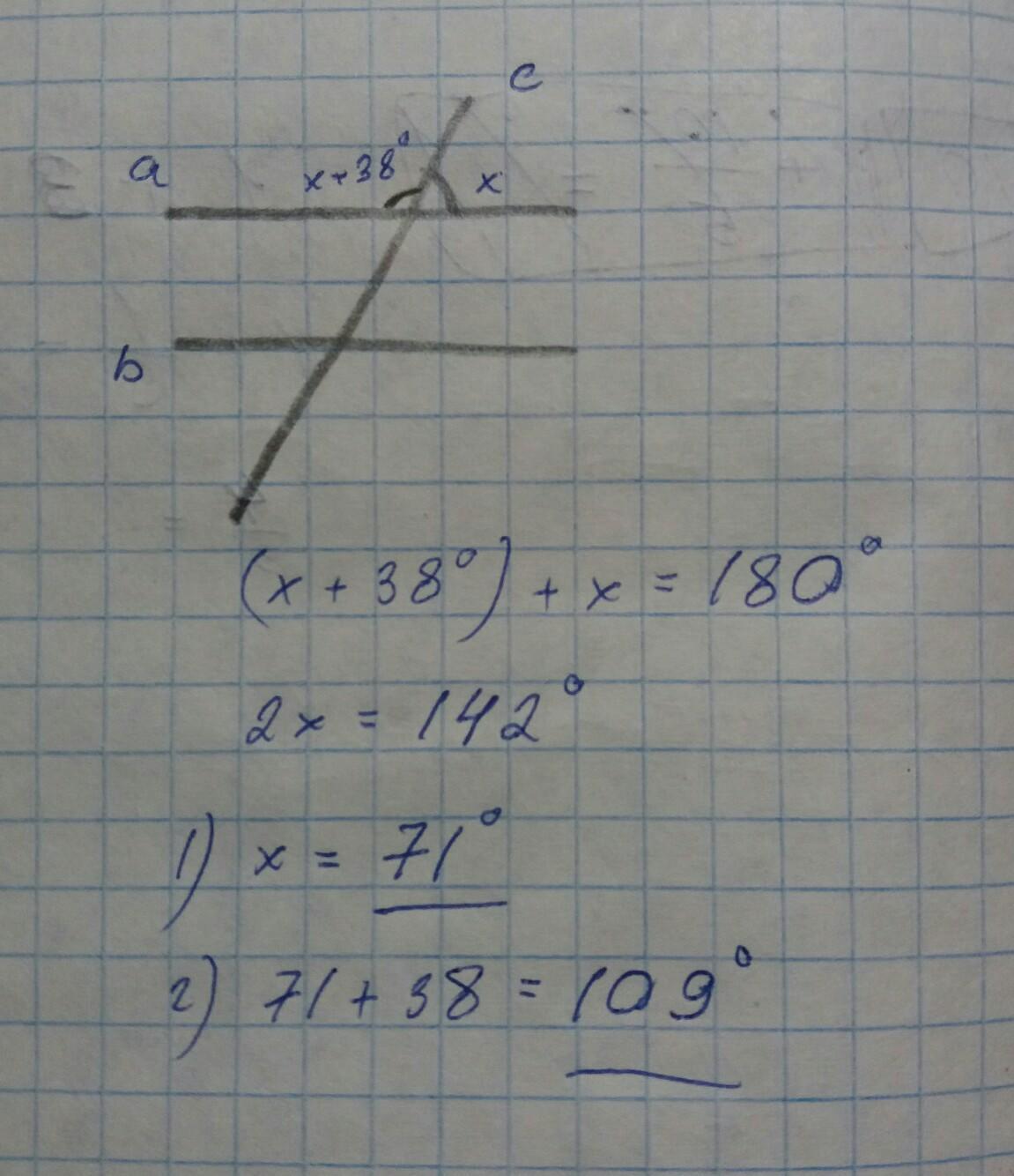
прямі а і б паралельні , с січна . Один із зовнішніх односторонніх кутів на 38 більший від другого . знайдіть ці кути
Пожалуста це срочно . Нада для кр
Ответы
Ответ дал:
5
71°, 109°.
Ответ и решение на фото.
Приложения:
Вас заинтересует
2 года назад
2 года назад
2 года назад
2 года назад
8 лет назад
8 лет назад
9 лет назад