найдите значение одночлена
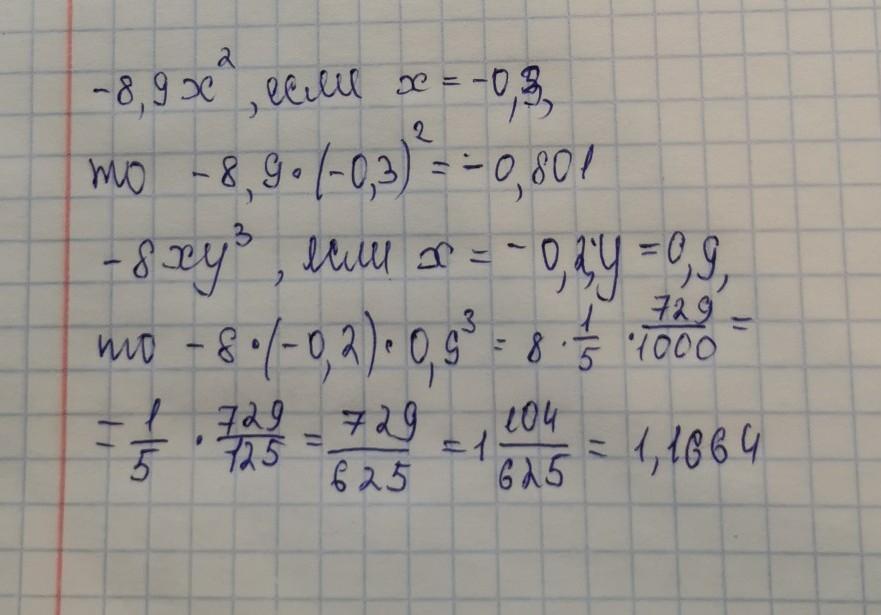
-8,9x^2 при x= -0,3
-8 x y^3 при x= -0,2 y= 0,9
0,007 x y z при x= -0,5 y=0,7 z= -0,2
Ответы
Ответ дал:
0
Ответ:
Думаю так, если нет, сори
Приложения:

Ответ дал:
1
Ответ:
-8. 9×(-0.3) ^2=-0.801
-8(-0.2) *(0.9) ^3=1.1664
0.007×(-0.5) ×0.7×(-0.2) =0, 00049
Вас заинтересует
2 года назад
2 года назад
2 года назад
7 лет назад
9 лет назад