• Предмет: Алгебра
  • Автор: sabi0000
  • Вопрос задан 3 года назад

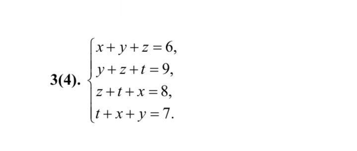
Решите систему уравнений

Приложения:

Ответы

Ответ дал: sangers1959
0

Объяснение:

\left\{\begin{array}{cccc}x+y+z=6\\y+z+t=9\\z+t+x=8\\t+x+y=7\end{array}\right..

Суммируем первое и четвёртое и второе и третье уравнения:

\left \{ {{2*(x+y)+(z+t)=13} \atop {(x+y)+2*(z+t)=17}} \right..

Пусть:

x+y=m\ \ \ \ \ z+t=n\ \ \ \ \Rightarrow\\\left \{ {{2m+n=13\ |*2} \atop {m+2n=17}} \right. \ \ \ \ \left \{ {{4m+2n=26} \atop {m+2n=17}} \right. .

Вычитаем из первого уравнения второе:

3m=9\ |:3\\m=x+y=3.\\3+2n=17\\2n=14\ |:2\\n=z+t=7.\ \ \ \ \Rightarrow\\3+z=6\ \ \ \ z=3;\\y+7=9\ \ \ \ y=2;\\7+x=8\ \ \ \ x=1;\\t+3=7\ \ \ \ t=4.

Ответ: x=1    y=2    z=3    t=4.

Вас заинтересует