• Предмет: Математика
  • Автор: seriussamdit23
  • Вопрос задан 3 года назад

Найдите частные решения дифференциальных уравнений.​

Приложения:

IUV: 1) у=х+2
IUV: 2)у= cos(x)

Ответы

Ответ дал: Miroslava227
2

Ответ:

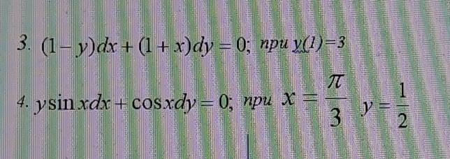
3)(1 + x)dy =  - (1 - y)dx \\ (1 + x)dy = (y - 1)dx \\ \int\limits \frac{dy}{y - 1}  = \int\limits \frac{dx}{1 + x}  \\   \int\limits \frac{d(y - 1)}{y - 1}  = \int\limits \frac{d(x + 1)}{x + 1}  \\    ln( y - 1)  =  ln(x + 1)  +  ln(C)  \\ y - 1 = C(x  + 1)

общее решение

y(1) = 3

3 - 1 = C(1 + 1) \\ C =  \frac{2}{2}  = 1

y - 1 = x + 1 \\ y = x + 2

частное решение

4) y\sin(x) dx =  -  \cos(x) dy \\ \int\limits \frac{dy}{y}  = -  \int\limits \frac{ \sin(x)dx }{ \cos(x) }  \\  ln(y)   =  \int\limits \frac{d( \cos(x)) }{ \cos(x) }  \\  ln(y)  =  ln( \cos(x) )  +  ln(C)  \\ y = C \cos(x)

общее решение

y( \frac{\pi}{3} ) =  \frac{1}{2}

 \frac{1}{2}  = C \cos( \frac{\pi}{3} )  \\ C \times  \frac{1 }{2}  =  \frac{1}{2} \\  C= 1

y =  \cos(x)

частное решение

Вас заинтересует
8 лет назад