• Предмет: Алгебра
  • Автор: elya5223
  • Вопрос задан 3 года назад

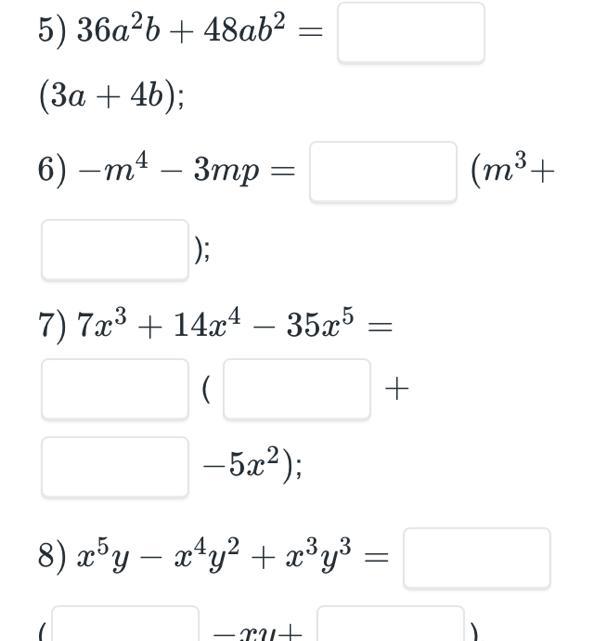
Очень срочно!!! Заполните пропуски так,чтобы образовалось тождество

Приложения:

Ответы

Ответ дал: galimzhanamina7
2

Ответ:

5) =12ab(3а+4b)

6)= -m(m³+3p)

7) =7x³(1+2x-5x²)

8) = x³y(x²-xy+y²)

Объяснение:

вот так правильно

Вас заинтересует