Помогите пожалуйста решить решения системы двух уравнений с двумя переменными методом подстановки
Приложения:

Ответы
Ответ дал:
1
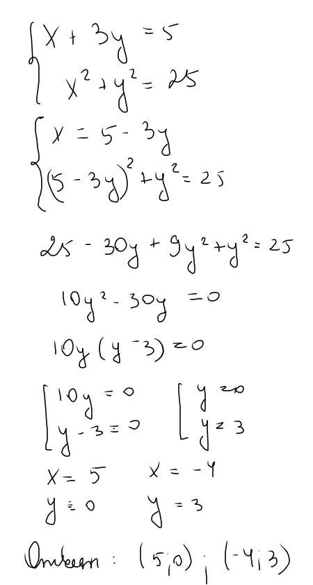
Ответ:
(5;0)
(-4;3)
Ответ представлен на картинке
Приложения:

dahyun56:
СПАСИБО БОЛЬШОЕ!
Вас заинтересует
2 года назад
2 года назад
7 лет назад
7 лет назад
9 лет назад