Можно прописью пожалуйста
Приложения:

miki68:
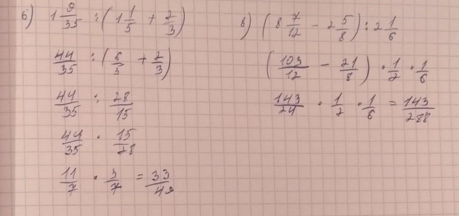
=44/35:(1 3/15+10/15)=44/35:1 13/15=44/35*15/28=11/7*3/7=33/49
Ответы
Ответ дал:
2
Здравствуй, ответ указен на фотографии.
Удачи:)
Приложения:

Вас заинтересует
2 года назад
2 года назад
2 года назад
7 лет назад
9 лет назад
9 лет назад