• Предмет: Алгебра
  • Автор: oopaaaaaaaaaa
  • Вопрос задан 3 года назад

25 БАЛЛОВ!!
Помогите пожалуйста с алгеброй, 8 класс.

Приложения:

oopaaaaaaaaaa: Дайте развёрнутый ответ
oopaaaaaaaaaa: короче ответ 8х, расходимся

Ответы

Ответ дал: digimbaevaayazhan
0

Ответ:

8x

Объяснение:

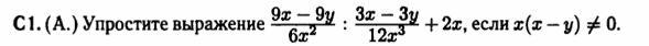
\frac{9x-9y}{6x^{2} } /\frac{3x-3y}{12x^{3} } +2x

1) \frac{3(3x-3y)}{6x^{2} } *\frac{12x^{3} }{3x-3y} +2x

2) \frac{3}{x^{2} } *2x^{3} +2x

3) 3*2x+2x

4) 6x+2x

5) 8x

Вас заинтересует