• Предмет: Математика
  • Автор: maximpon0marenhhhhh
  • Вопрос задан 3 года назад

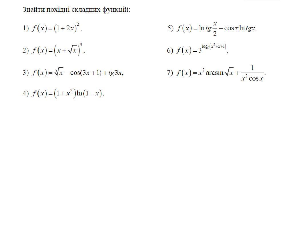
Помогите пожалуйста, решить производные функции.

Приложения:

ВикаБач: Там нет ни одного уравнения!!! Наверное, не ту картинку прицепил?

Ответы

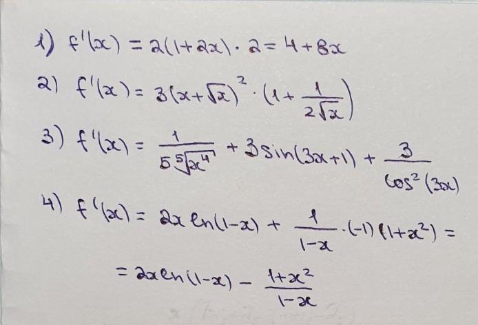
Ответ дал: Miroslava227
1

Ответ:

решение на фотографиях

Приложения:
Вас заинтересует