Ответы
Ответ дал:
0
Ответ:
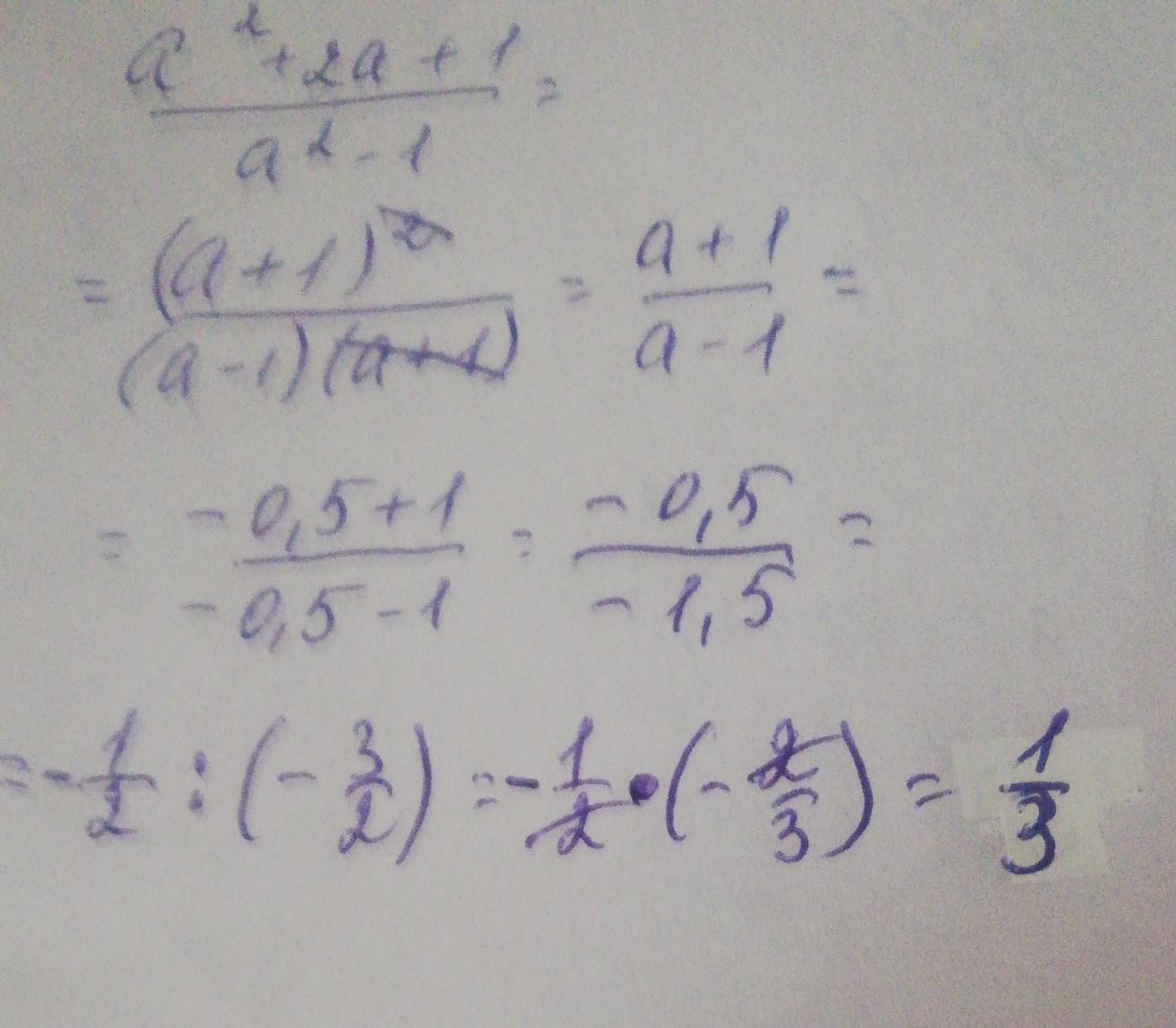
Смотри решение на фото
Приложения:

serovaksusa1:
при делении минуса на минус в ответе получается плюс(правило)
Вас заинтересует
2 года назад
2 года назад
2 года назад
2 года назад
7 лет назад
7 лет назад
9 лет назад